康宁杰瑞创新药物取得进展;JSKN016进入III期关键阶段;双抗ADC为TNBC患者带来新希望
本文不构成任何投资意见和建议,以官方或公司公告为准;本文仅作医疗健康相关药物介绍,非治疗方案推荐,不代表平台立场。任何文章转载需得到授权。
近日,康宁杰瑞制药-B宣布一项重要临床里程碑,其自主研发的靶向TROP2和HER3的双特异性抗体偶联药物JSKN016,在治疗三阴性乳腺癌的III期临床研究中完成了首例患者给药。这一进展标志着该创新药物正式迈入关键性临床验证阶段,为晚期三阴性乳腺癌患者群体提供了潜在的新治疗选择。三阴性乳腺癌作为乳腺癌中较为棘手的亚型,缺乏有效的靶向治疗手段,患者往往面临预后较差的挑战,而双靶点ADC的出现有望通过精准机制改善这一现状。

该III期研究(JSKN016-301)设计为开放标签、随机、对照、多中心试验,预计在中国多个临床中心同步推进。研究主要针对那些经过至少二线系统治疗后疾病进展的局部晚期或转移性三阴性乳腺癌患者,将JSKN016与现有标准治疗方案进行对比。通过这一设计,研究团队旨在全面评估该药物的疗效、安全性以及在真实世界中的潜在优势。双抗ADC的独特机制在于同时作用于肿瘤细胞表面的两种关键受体,这有助于更全面地阻断肿瘤生长信号,并提升药物递送效率,从而实现更显著的抗肿瘤效果。
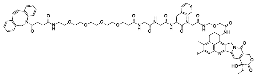
JSKN016的核心创新在于其分子设计。公司利用单域抗体和双抗平台,开发出这一同时靶向TROP2和HER3的双特异性抗体,并通过专利糖基定点偶联技术实现药物-抗体比率(DAR)为4的均一稳定结构。这种技术显著提高了ADC的稳定性和一致性,减少了异质性可能带来的毒性风险。在抗体部分,针对HER3采用了高亲和力纳米抗体设计,而对TROP2则控制在适中亲和力水平,以降低正常组织尤其是口腔黏膜的脱靶毒性,从而改善患者的耐受性。

在载荷选择上,JSKN016搭载了拓扑异构酶I抑制剂Alphatecan,并通过PEG修饰增强亲水性,这有助于优化药物在体内的分布和释放特性。药物与肿瘤细胞结合后,可有效触发内吞过程,将毒性载荷精准递送至细胞内部,干扰DNA复制与修复机制,最终诱导肿瘤细胞凋亡。早期临床数据表明,该药物在多种晚期实体瘤包括多线治疗失败的三阴性乳腺癌患者中,显示出较好的抗肿瘤活性以及可接受的安全性特征,这为推进至III期提供了坚实基础。

目前,JSKN016已在非小细胞肺癌、胃癌、乳腺癌等多个适应症开展II期临床探索,积累了较为丰富的临床证据。这些研究不仅验证了双靶点策略的潜力,也为优化联合治疗方案提供了方向。随着III期研究的深入推进,如果结果积极,该药物有望成为三阴性乳腺癌治疗领域的重要补充选项,进一步丰富患者的治疗工具箱。康宁杰瑞在ADC领域的持续投入,也体现了中国创新药企在复杂分子设计和临床转化方面的实力提升。

总体而言,这一临床里程碑的达成,不仅是公司研发管线的重要进展,也为肿瘤精准治疗领域注入了新活力。未来随着更多数据披露,JSKN016或将在实体瘤治疗中发挥更大作用,惠及更多难治性癌症患者。研究团队将继续密切关注试验进程,确保科学严谨地推进这一创新药物的开发。



